محدث بالفيديو والصور: نتائج قرعة الحج 2026 الجزائر في جميع ولايات الوطن - قائمة الأسماء كاملة
نتائج قرعة الحج 2026 الجزائر مباشر في جميع ولايات الوطن، حيث أعلنت كافة ولايات الجزائر اليوم السبت 22 نوفمبر 2025 ، أسماء الفائزين بقرعة الحج لموسم 1447-2026 ، وسط أجواء إيمانية وروحانية جميلة ، في وقت نشطت عمليات البحث عن أسماء الحجاج الفائزين عبر منصات البحث الشهيرة ، وخاصة موقع الديوان الوطني للحج والعمرة ، وموقع وزارة الداخلية والجماعات والنقل.
تنويه مهم : نتائج قرعة الحج 2026 الجزائر في جميع الولايات يتم نشرها تباعا ، فقط عليك تحديث الصفحة ، علما أنه سيتم نشر قائمة الأسماء الفائزة كاملة لجميع الولايات خلال الساعات القريبة المقبلة.
نتائج قرعة الحج 2026 الجزائر: دليل شامل للبحث عن الفائزين
نتائج قرعة الحج 2026 الجزائر – دليل شامل ورابط وخطوات الاستعلام
الولايات التي ستعلن نتائج قرعة الحج 2026 الجزائر
سيتم نشر نتائج قرعة الحج 2026 الجزائر في جميع ولايات البلاد في تمام الساعة التاسعة صباحا بتوقيت الجزائر ، وتشمل
نتائج قرعة الحج 2026 ولاية أدرار
حجاج بلدية سالي

نتائج قرعة الحج لبلدية تامست

حجاج بلدية شروين 2026


حجاج تسابيت

حجاج بلدية أدرار 2026





حجاج بلدية رقان 2026



حجاج بلدية تيميمون 2026


حجاج بلدية أولف 2026

نتائج قرعة الحج 2026 ولاية الشلف













حجاج بلدية تنس



نتائج قرعة الحج 2026 ولاية الأغواط
نتائج قرعة الحج 2026 ولاية أم البواقي

نتائج قرعة الحج 2026 ولاية باتنة
نتائج قرعة الحج 2026 ولاية بجاية
نتائج قرعة الحج 2026 ولاية بسكرة











نتائج قرعة الحج 2026 ولاية بشار
نتائج قرعة الحج 2026 ولاية البليدة
نتائج قرعة الحج 2026 ولاية البويرة
نتائج قرعة الحج 2026 ولاية تمنراست
نتائج قرعة الحج 2026 ولاية تبسة







نتائج قرعة الحج 2026 ولاية تلمسان
نتائج قرعة الحج 2026 ولاية تيارت
نتائج قرعة الحج 2026 ولاية تيزي وزو
نتائج قرعة الحج 2026 ولاية الجزائر
حجاج بلدية الدويرة


حجاج بلدية الخرايسية



نتائج قرعة الحج 2026 ولاية الجلفة
نتائج قرعة الحج 2026 ولاية جيجل
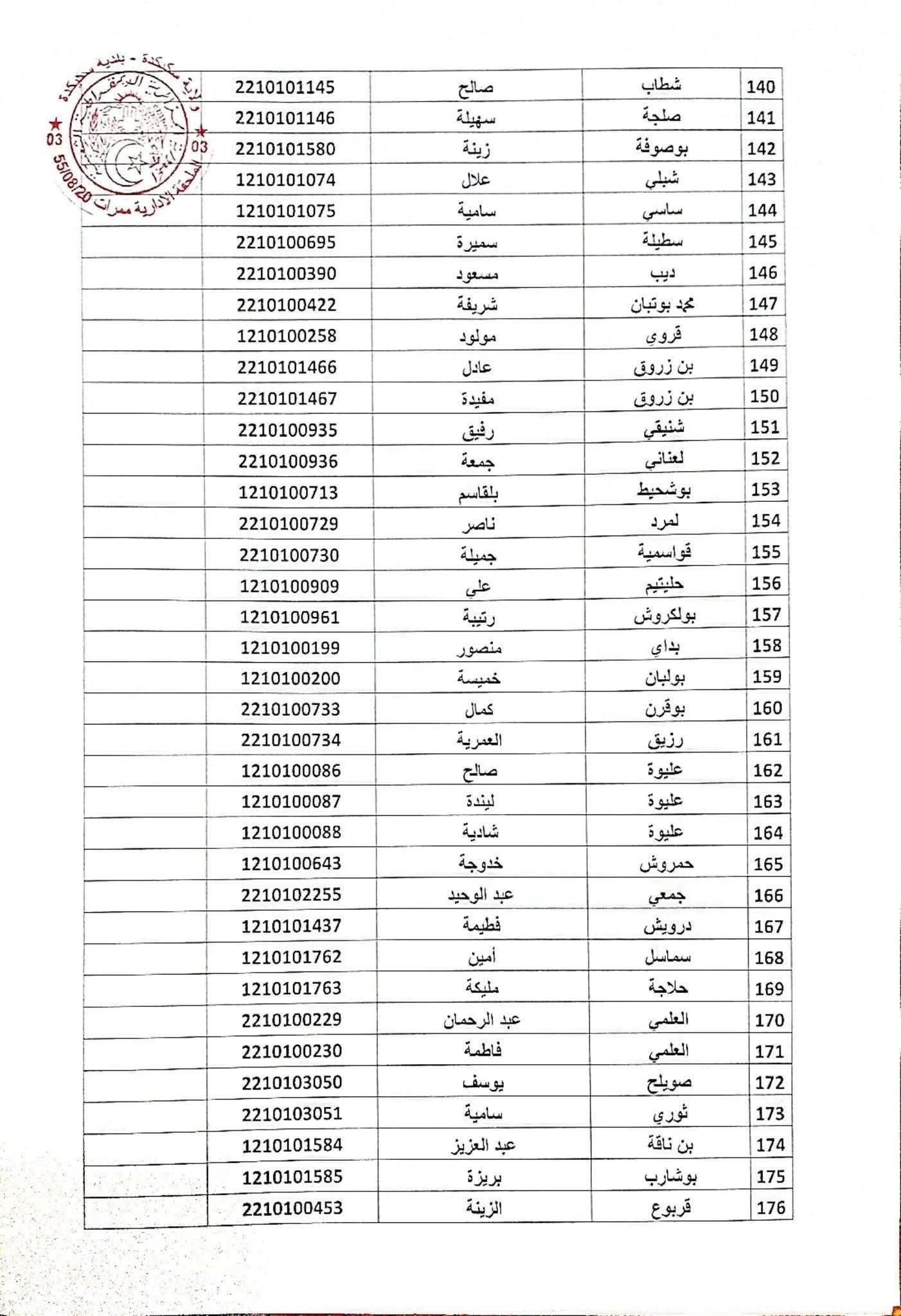
نتائج قرعة الحج 2026 ولاية سطيف
نتائج قرعة الحج 2026 لبلدية العلمة ( بالاسماء)




نتائج قرعة الحج 2026 ولاية سعيدة
نتائج قرعة الحج 2026 ولاية سكيكدة








نتائج قرعة الحج 2026 ولاية سيدي بلعباس
نتائج قرعة الحج 2026 ولاية عنابة



نتائج قرعة الحج 2026 ولاية قالمة
نتائج قرعة الحج 2026 ولاية قسنطينة










نتائج قرعة الحج 2026 ولاية المدية
نتائج قرعة الحج 2026 ولاية مستغانم
نتائج قرعة الحج 2026 ولاية المسيلة
نتائج قرعة الحج 2026 ولاية معسكر
نتائج قرعة الحج 2026 ولاية ورقلة





نتائج قرعة الحج 2026 ولاية وهران









نتائج قرعة الحج 2026 ولاية البيض
نتائج قرعة الحج 2026 ولاية إليزي
نتائج قرعة الحج 2026 ولاية برج بوعريريج
نتائج قرعة الحج 2026 ولاية بومرداس
نتائج قرعة الحج 2026 ولاية الطارف
نتائج قرعة الحج 2026 ولاية تندوف
قائمة حجاج تيندوف
صديقي يوسف
صديقي فاطمة الزهرة
يجد حياة
زناقي عبد الكريم
بلال لالى
باب العياش موسى
دراوي شفيق
بودحينة زهرة
لمهير صالح
بنان السالكة
حاج بوبكر عبد الله
سنهوري محمود
بابو فاطيمتو
كبادي محمد
تلمادي وهيبة
سنهوري خطار
ملاد عبد الفتاح
ملاد زينب
ملاد فاطمة الزهرة
تياح عبد الفتاح
بحباح رحمة
عيشاوي وليد
بن عمار جميلة
بشرة على
بشرة ناهة
بوترعة اوريدة
بولعراس نبيل
خونا عبد القادر
سليماني بدر الدين
عيشوش احمد
سليماني مزراقة
تواقين زوبير
بن طالب سومية
اوبا كريمة
بن طوبة بن دحام
سعيدي العايزة
بوسعيد مصطفى
تواقين مخطار
خيار حبيبة
طيبي علي
خلوفي امال
جدو محمد لمين
زناتي جلول
قاسمي كلثوم
لطرش منور
لطرش صافية
عثمان براهيم
كرومي زوليخة
عبد المالك فاطمة
اليزيد آمين
الطاهر عادل
علالي سعاد
ميموني سويلكة
زغامين بدادي
بن بريك مليكة
حيسون فراح
حمادينا عبد الله
حمادينا خديجة
بوسعيد مصطفى
سلام معطا الله
جامعي احمد
يحياوي موقف
رزني عبد الله
صباح ام الخير
لعيدي عبد القادر
عاشو زينب
بوقفة محمد
عبد العزيز ريمة
عبد الله دقاري
كبادي مولود
صافي فدنة
زقار علي
زاوي سماعيل
عيساوي باهية
مسيفي لطيفة
عبد الحي مصطفى
بربوشي عيشة
بشرة عمر
بصايب بوشنتوف
عمارة محمد لمين
حمدان نصيرة
تواقين الطاهر
حيمد محمد سالم
عوماري نفعي
بوسعيد عبد الرحمان
تواقين عبد الله
بيتا محمد مبارك
محمدي لالى
حيسون محمد سالم
كيحل هاشم
كيحل ام الخير
عبدو سالم
كمال الدين ميرة
............
#قائمة_الاحتياط لهذه السنة
ميموني مونمون
ابيري براهيم
فراج رمضان
بلعيد بدرية
بن جعفر مومن
بن جعفر ربيعة
عيشوش جمال
دمان جميلة
بلعبيد حمزة
قادري رضوان
الطاهر لعرب
الطاهر مليكة
ليمام محمد مولود
بدران مباركة
نتائج قرعة الحج 2026 ولاية تسمسيلت
نتائج قرعة الحج 2026 ولاية الوادي
نتائج قرعة الحج 2026 ولاية خنشلة
نتائج قرعة الحج 2026 ولاية سوق أهراس
نتائج قرعة الحج 2026 ولاية تيبازة
نتائج قرعة الحج 2026 ولاية ميلة
نتائج قرعة الحج 2026 ولاية عين الدفلى
نتائج قرعة الحج 2026 ولاية النعامة
قائمة حجاج عين بن خليل احتياط 2025+ قرعة 2026
قرين مباركة
قرين قويدر
قدار محمد (عبد كريم)
جليلات جمعة
بن دحو بن دحو
حوزي فاطيمة
حوزي عبد العالي
حادي امحمد ولد عبد الحميد
عمارة بارودي
حجاج قويدر
رمضاوي فتيحة
حادي امحمد ولد محمد
لشهب مالك
برمضان حليمة
حادي عيادة
مالك حبيب
قادري زانة
عامري فاطنة بنت حمزة
يوسفي معمر
نتائج قرعة الحج 2026 ولاية عين تموشنت


نتائج قرعة الحج 2026 ولاية غرداية
نتائج قرعة الحج 2026 ولاية غيليزان
نتائج قرعة الحج 2026 ولاية تقرت
نتائج قرعة الحج 2026 ولاية جانت
نتائج قرعة الحج 2026 ولاية المغير
نتائج قرعة الحج 2026 ولاية أولاد جلال
نتائج قرعة الحج 2026 ولاية برج باجي مختار


نتائج قرعة الحج 2026 ولاية بني عباس
أسماءالفائزين بقرعة الحج لموسم1447/2026
_ هلو حسنية
_زغامري مكي
_قاني عبد المجيد
_زباير غازي
_مازوز _زينب
_ عثمان عبد السلام
_ بن اعمر _فاطيمة
_بن طاهر لحبيب
_ بن طاهر _رقية
_بهابي بلقاسم
_ماموني _صليحة
• الإحتياط :
_بوسعيد اعيش


الفائزون في قرعة الحج لسنة 1447/ 2026
1- طالبي محمد (احتياطي العام الفارط)
2- بوقلمون بشير (احتياطي العام الفارط)
3- مقدم عبد المجيد
4- بن عبد الرحمن عائشة
5- عمري محمد
6- عماري عائشة
#الاحتياط
1- رحموني يوسف
قندوسي فضيل
- كروم مبريكة
- فريج كلثوم
- بلموري العيد
- بركات فتيحة
نتائج قرعة الحج 2026 ولاية إن صالح


نتائج قرعة الحج 2026 ولاية إن قزام
نتائج قرعة الحج 2026 ولاية تيميمون












نتائج قرعة الحج 2026 ولاية المنيعة




وسيتمكن كل مواطن من معرفة النتائج حسب ولايته وبلديته بتحميل القوائم المحدثة فور نشرها عبر المنصة المركزية.

كيفية الاطلاع على نتائج قرعة الحج 2026 الجزائر
يمكن للمواطنين الراغبين في معرفة نتائج قرعة الحج 2026 الجزائر، الدخول إلى الموقع الرسمي لوزارة الشؤون الدينية والأوقاف أو المنصات الرقمية الخاصة بالبلديات. وتشمل طرق الاطلاع ما يلي:
الموقع الرسمي للوزارة: عبر بوابة الخدمات الإلكترونية
المواقع المحلية للبلديات والدائر
اللوحات الإعلانية في مقرات البلديات
إشعارات SMS التي تصل إلى المقبولين وفق النظام المعتمد محلياً.
كما خصصت الوزارة فرقاً تقنية لمرافقة المشاركين في حال حدوث ضغط أو أعطال على المواقع الإلكترونية.
الإجراءات المعتمدة بعد إعلان النتائج
بعد إعلان قوائم المقبولين، دعت وزارة الشؤون الدينية الفائزين إلى:
استكمال الملفات الإدارية في الآجال المحددة.
الخضوع للفحوصات الطبية الإجبارية لضمان الجاهزية الصحية.
دفع تكاليف الحج عبر القنوات الرسمية المعتمدة.
حضور الدورات التكوينية الإرشادية التي ستنطلق الأسابيع المقبلة.
وقال مسؤولون إن الوزارة ستنشر لاحقاً كل التفاصيل المتعلقة بالأسعار، الرحلات، وبرنامج مرافقة الحجاج خلال موسم حج 2026.
روابط متابعة نتائج قرعة الحج 2026 الجزائر (عند توفرها)
ستقوم الوزارة بنشر روابط مباشرة للنتائج فور تفعيلها، ومن المتوقع أن تكون عبر:
الموقع الرسمي لوزارة الشؤون الدينية
بوابة التسجيلات الإلكترونية للحج
صفحات ولايات وبلديات الجزائر على فيسبوك
وسيتم تحديث هذا الخبر فور إعلان الروابط الرسمية.
