إجابات امتحان الرياضيات الورقة الثانية توجيهي 2025 في فلسطين - العلمي
إجابات امتحان الرياضيات الورقة الثانية توجيهي 2025 في فلسطين الفرع العلمي - حيث بدأت جلسة الاختبار لطلبة الثانوية العامة ، اليوم الخميس 3 يوليو 2023، في تمام الساعة التاسعة صباحا بتوقيت فلسطين في الضفة الغربية و القدس وكذلك الشتات، باستثناء قطاع غزة الذي يتعرض لحرب إبادة منذ قرابة عامين.
ويبحث طلاب وطالبات الثانوية العامة الفرع العلمي بفلسطين، في الوقت الحالي عن إجابات امتحان الرياضيات 2 توجيهي 2025، حيث تحرص وزارة التربية والتعليم على توفير البيئة الملائمة والجيدة لطلبة التوجيهي في فلسطين رغم معيقات الاحتلال.
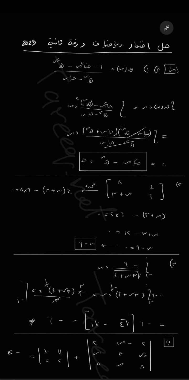
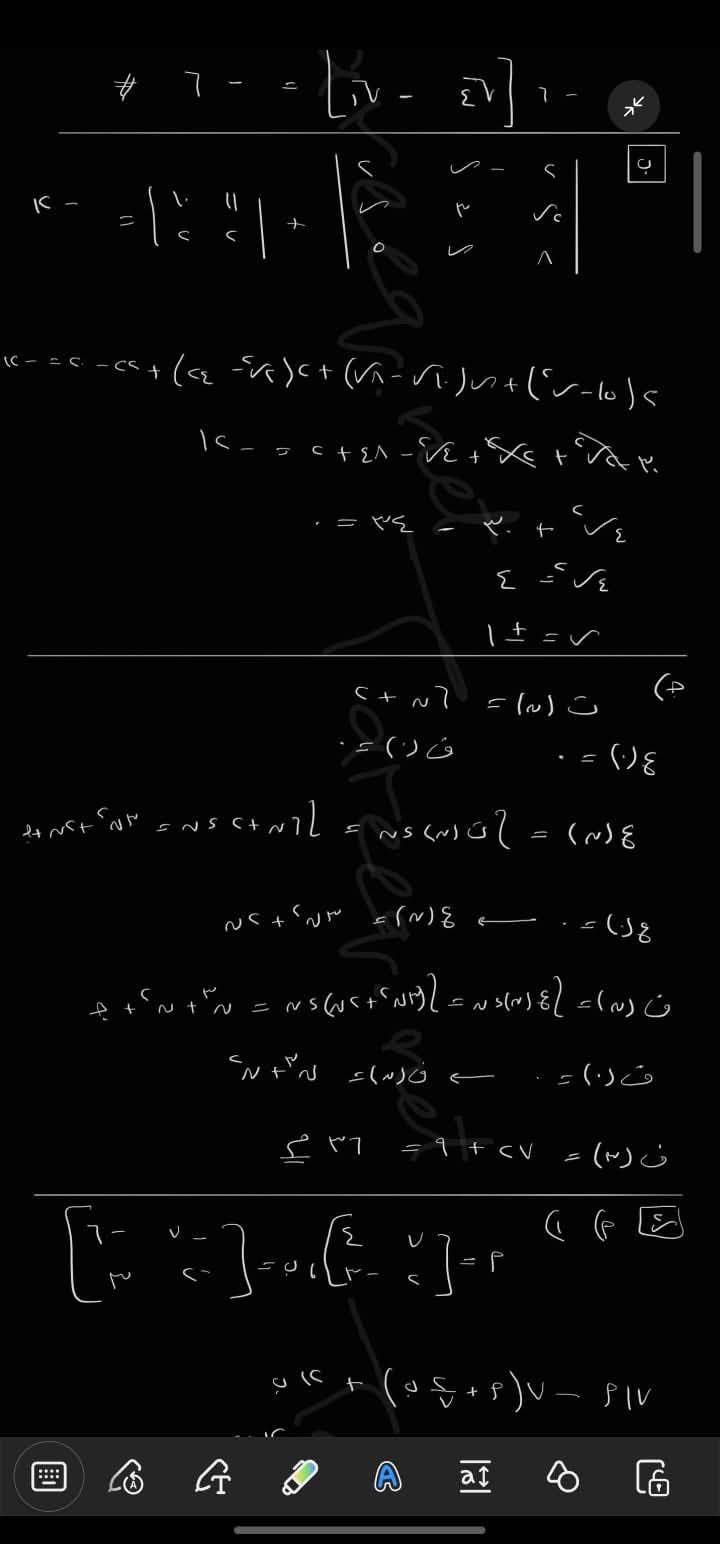
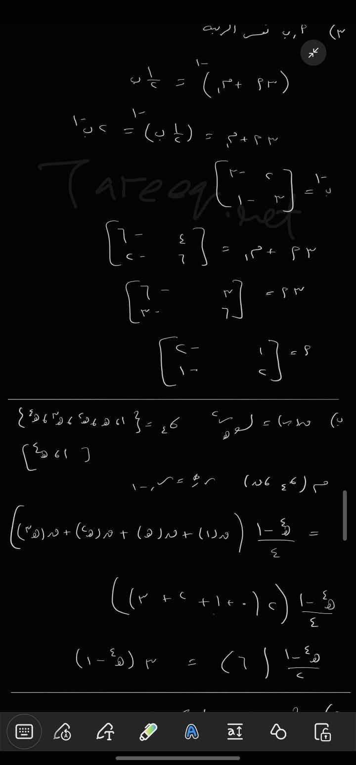
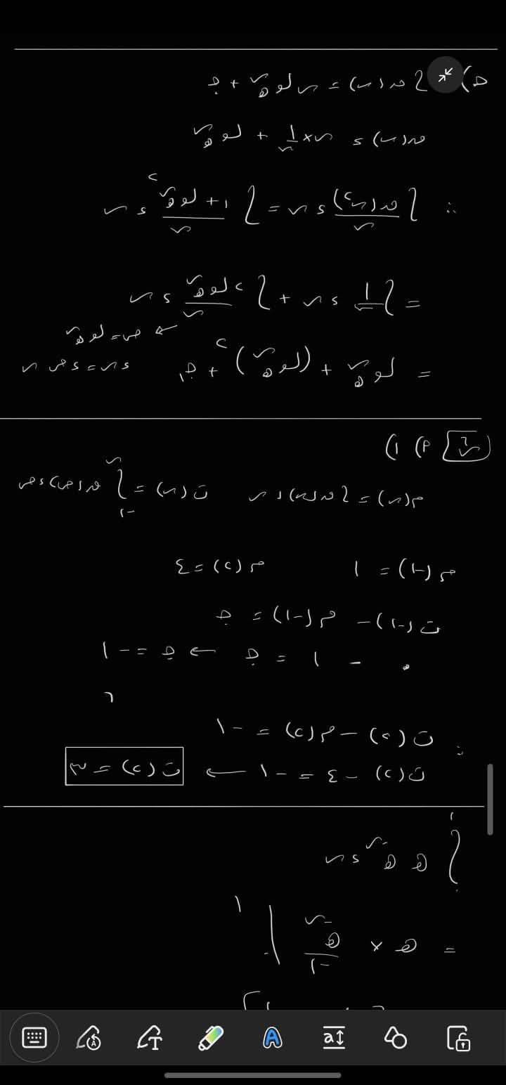
إجابات امتحان الرياضيات الورقة الثانية توجيهي 2025 في فلسطين الفرع العلمي: "بالصور" ((أسئلة الامتحان بالأسفل))















وتعمل وكالة سوا الإخبارية على توفير كل ما يبحث عنه القارىء، لذلك سوف نستعرض في السطور التالية، إجابات امتحان الرياضيات 2 توجيهي 2025 في فلسطين الفرع العلمي لكافة متابعيها في الضفة الغربية والقدس ومدارس الشتات الذي يرغبون في معرفة الإجابات الصحيحة لامتحان الرياضيات 2 بالفرع العلمي، ليتمكن الطلبة من مراجعة اجاباتهم بعد العودة من الاختبار.
كما يتقدم طلاب الثانوية العامة الفرع الأدبي في فلسطين إلى اختبار الثقافة العلمية العام.
أسئلة امتحان الرياضيات 2 توجيهي 2025 في فلسطين: الفرع العلمي




وبهذا نكون قد عرضنا لكم عبر وكالة سوا الإخبارية، إجابات امتحان الرياضيات 2 توجيهي 2025 في فلسطين العلمي، حيث يعتبر من أكثر المواد التي تحظى باهتمام وتركيز شديدين لدى طلبة الثانوية العامة.
